l i v i n g -a n d -m on y.com
Pentru enunturi clic AICI
OPTICA
Intrebari:
I1=4, I2=2, I3=2, I4=3, I5=4, I6=2, I7=3,I8=2, I9=1, I10=3, I11=1,I12=2, I13=3, I14=2
|
OpG3 x_1=-60cm |
ELECTRICITATE
|
E1 ![]() |
E2 ![]() |

|
E12 Capacitatile intre bornele 1-2 din ambele montaje trebuie sa fie egale. La fel si intre bornele 2-3 respectiv 1-3. Rezulta relatiile: ![]() ![]() |
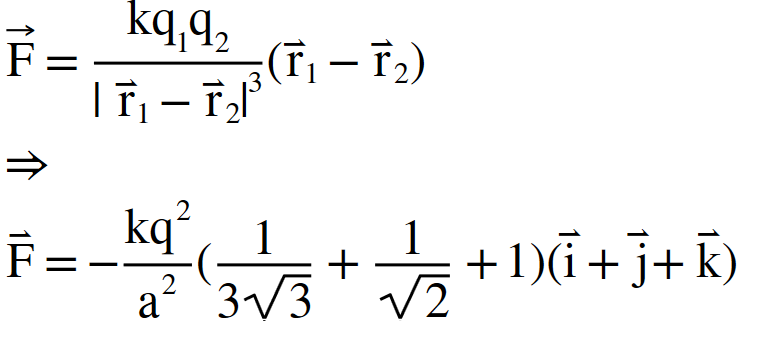
![]() ![]() E4-3 ![]() ![]() ![]() E4-4 ![]() ![]() E4-5 ![]() ![]() ![]() |
|
E16. Circuitele 7a si 7b se pot desena altfel: ![]() ![]() ![]() ![]() E19 ![]() ![]() E40-1 ![]() ![]() E50-1 ![]() E50-2 ![]() E50-3 ![]() E50-4 ![]() E50-5 ![]() E50-6 ![]() ![]() E50-23 ![]() ![]() |
![]() E5 ![]() E5-1 ![]() E5-2 ![]() ![]() E4.8 ![]() E4-9 ![]() ![]() E4-10 ![]() E4-11 ![]() E4-12 ![]() ![]() E4-13 ![]() ![]() E17 ![]() E18 Folosim lg. Gauss ![]() ![]() Ca si cum toata sarcina s-ar afla in centrul sferei. E20 ![]() E21 E=0 E40-2 ![]() ![]() E40-3 ![]() E40-4 ![]() ![]() |
|
E22. Ref: www.oradefizica.ro ![]() ![]() |
E23 E30 ![]() E30-1 ![]() E30-2 ![]() ![]() E30-3 Problema se reduce la problema E30-2 E30-4 ![]() ![]() E30-5 ![]() ![]() E30-6 ![]() E30-7 ![]() ![]() E25-1. F=Bil=o,6N E26. F=o.1N E27. B=0.08T E28. B=μI/2πr B=0T; B=2.4x10^-4T E29. dist=1,5 cm fata de conductorul 1 F=1,33x10^-5N/cm E.x3 ![]() ![]() |
|
N1.1 ![]() N1.3 ![]() |
N1.2 ![]() ![]() N1.4 ![]() |

|
N1.5 ![]() |
N1.6 ![]() N1.7 ![]() ![]() |
|
N1.x1 Felect = k • Q1 • Q2 / d2 Felect = (9.0 x 109 N•m2/C2) • (1.00 C) • (1.00 C) / (1.00 m)2 Felect = 9.0 x 109 N
The force of repulsion of two +1.00 Coulomb charges held 1.00 meter apart is 9 billion Newton. This is an incredibly large force that compares in magnitude to the weight of more than 2000 jetliners. |
N1.x2 Felect = k • Q1 • Q2 / d2 Felect = (9.0 x 109 N•m2/C2) • (6.25 x 10-9 C) • (6.25 x 10-9 C) / (0.617 m)2 Felect = 9.23 x 10-7 N N1.x7 Answer: 0.030 m or 3.0 cm Step 1: Identify known values in variable form. Q1 = 1.0 x 10-6 C and Q2 = 1.0 x 10-6 C Felect = Fgrav = mg = 1.0 • 9.8 m/s/s = 9.8 N |
|
N1.x3 Felect = k • Q1 • Q2 / d2 d2 • Felect = k • Q1 • Q2 d2 = k • Q1 • Q2 / Felect d = SQRT(k • Q1 • Q2) / Felect d = SQRT [(9.0 x 109 N•m2/C2) • (-8.21 x 10-6 C) • (+3.37 x 10-6 C) / (-0.0626 N)] d = Sqrt [ +3.98 m2 ] d = +1.99 m |
N1.x4 Answer: E In the equation Felect = k • Q1 • Q2 / d2 , the symbol Felect represents the electrostatic force of attraction or repulsion between objects 1 and 2. The symbol k is Coulomb's law constant (9 x 109 N • m2 / C2), Q1 and Q2 represent the quantity of charge on object 1 and object 2, and d represents the separation distance between the objects' centers. |
|
N1.x5 Answer: 2.16 x 10-5 N, attractive Step 1: Identify known values in variable form. Q1 = +3.5 x 10-8 C and Q2 = -2.9 x 10-8 C d = 0.65 m Step 2: Identify the requested value F = ??? N1.x7 N1.x9 Answer: 0.320 N Explanation: Electrostatic force is directly related to the charge of each object. So if the charge of both objects is doubled, then the force will become four times greater. Four times 0.080 N is 0.320 N. N1.x10 Answer: 0.020 N Explanation: The electrostatic force is inversely related to the square of the separation distance. So if d is two times larger, then F is four times smaller - that is, one-fourth the original value. One-fourth of 0.080 N is 0.020 N. N1.x12 Answer: 0.0050 N Explanation: The electrostatic force is inversely related to the square of the separation distance. So if d is four times larger (quadrupled), then F is 16 times smaller - that is, 1/16-th the original value. One-sixteenth of 0.080 N is 0.0050 N. |
N1.x6 Answer: 1.3 x 10-2 N, attractive (rounded from 1.296 x 10-2 N) Step 1: Identify known values in variable form. Q1 = +6.0 x 10-7 C and Q2 = -6.0 x 10-7 C d = 0.50 m Step 2: Identify the requested value F = ??? N1.x8 Answer: 0.160 N Explanation: Electrostatic force is directly related to the charge of each object. So if the charge of one object is doubled, then the force will become two times greater. Two times 0.080 N is 0.160 N. N1.x11 Answer: 0.00889 N Explanation: The electrostatic force is inversely related to the square of the separation distance. So if d is three times larger, then F is nine times smaller - that is, one-ninth the original value. One-ninth of 0.080 N is 0.00889 N. N1.x13 Answer: FALSE Contrary to a commonly held belief, a lightning rod does not serve to prevent a lightning bolt. The presence of the rod on the building can only serve to divert the charge in the bolt to the ground through a low resistance pathway and thus protect the building from the damage which would otherwise result. |
|
N1.x14 Answer: False The presence of an elevated lightning rod could serve to draw charge from the cloud to the ground. In the event of a lightning strike, a bolt would likely select a path from the cloud that ultimately connects to the rod. If the rod is not grounded, then the charge would likely pass through the home during its journey to the ground. The intense heat associated with the lightning bolt would cause severe damage and possibly cause an explosion or a fire. In the end, it would have been better to not even have installed a lightning rod than to have installed one that is not grounded. N1.x16 Answer: 3.83 meters Begin by determining the Q of the balloons. Q1 = Q2 = # of excess electrons • Qelectron = 4.0 x 10-6 C. The force of gravity of the balloons is m • g or 0.0098 N. To levitate the top balloon over the bottom balloon, the electrical force of repulsion must equal the force of gravity on the top balloon. Thus Felect = 0.0098 N. Now that Q1, Q2, and F are known, Coulomb's law can be used to determine the distance d. Algebraic rearrangement leads to d = Sqrt [ (k• Q1 • Q2 ) / F ]. Substitution leads to the answer. N1.x18 ![]() ![]() ![]() N1.x19 ![]() |
N1.x15 Answer: 0.052 meters Given: Q1 = +8.5 x 10-8 C Q2 = -6.3 x 10-8 C m = 0.0018 kg Use the mass to determine the force of gravity (m • g). The force of gravity on the balloon is 0.0176 N. Thus, the upward electrical force is 0.0176 N. Now that F, Q1, and Q2 are known, Coulomb's law can be used to determine the distance d in the equation. Algebraic rearrangement leads to d = Sqrt [ (k• Q1• Q2) / F ]. Substitution leads to the answer. N1.x17 Answer: x = -267 cm Some reasoning would lead to the conclusion that C must be located to the left of A so that the repulsion interaction with B is balanced by the attractive interaction with A. Thus, the distance from A to C can be called x and the distance from B to C can be called 0.6 + x (where x is the absolute value of the coordinate position (in meters). Expressions for FAC and FBC can be written FAC = k • QA • QC / (dAC)2FBC = k • QB • QC / (dBC)2 and set equal to each other since objects at equilibrium have balanced forces. Thus k • QA • QC / (dAC)2 = k • QB • QC / (dBC)2 The equation can be simplified by canceling k and QC. Thus, QA / (dAC)2 = QB / (dBC)2 Substitute x and 0.6 + x into this equation: QA / x2 = QB / ( 0.6 + x )2Then solve for x by taking the square root of each side and substituting the Q values into the equatio N1.x21 |
|
N1.x28 d = +1.99 m
|
N1.x30 Q1 = 1.0 x 10-6 C and Q2 = 1.0 x 10-6 C Felect = Fgrav = mg = 1.0 • 9.8 m/s/s = 9.8 N |
|
N1.x38 ![]() |
N1.x39. ![]() |
|
N1.x40 F=40N |
N1.x41 F= 311.5 N |
|
N1,x42 Forta se reduce de 4 ori ![]() |
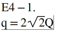
N1.x44 q3/q2=9/4 ![]() Ex10 θ=39 grade |
MECANICA
|
M1-1 ![]() M1-4 ![]() M1-5 ![]() M1-6 ![]() |
M2 Punctul de intilnire=la 104 km fata de B M4-2 ![]() ![]() ![]() M4-3 ![]() t=2l/(v1+v2) |
|
M4-4 ![]() | |
|
t=2l/(v2-v1)=0,0066h | |
|
M5-2 | |
![]() | |
|
M7 ![]() ![]() M7-1
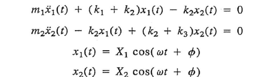
M7-2 ![]() M7-3 ![]() M7-4 ![]() M7-5 ![]() M7-6 ![]() M7.7 ![]() M7-8 ![]() M7-9 ![]() M11 ![]() M12 ![]() ![]() M13 ![]() M19 ![]() ![]() M20 ![]() M20-1 ![]() ![]() M21 Nu este corect. In sistemele de referinta neinertiale legile lui Newton nu se aplica. M23 ![]() M23-1 M24-1 F=mg/2 M24-2 F=mg/3 M24-3 F=mg/4 M24-5 ![]() M24-6 ![]() ![]() M26 L=0.248m M26-1bis Pendulul A M26-1 ![]() ![]() Osc5 ![]() ![]() Osc8 ![]() Osc9 ![]() Osc6 ![]() ![]() Osc10 ![]() Osc11 ![]() ![]() ![]() M26-5 ![]() ![]() |
M8.
![]() M9 F=1718,4N M10 ![]() M10-1 ![]() M10-2 M10-2rez. Sfera goală se înlocuiește un punct de masă M șituat în centrul ei(vezi fig M10-2). ![]() M10-3 M10-3. Momentul forței care acționează asupra Pământului este 0. Aceasta înseamnă că dL/dt=0. M10-4 d=Rx, R=d/x=6800km, aproape bine M10-6 ![]() ![]() M10-7 ![]() ![]() ![]() M14 ![]() M14-4 ![]() ![]() M15 ![]() M16 ![]() M17-1 ![]() M22 Calatorul vede mingea ca se misca pe verticala. Din sistemul legat de pamint mingea se misca dupa o parabola-din cauza vitezei vagonului. M24 ![]() M25 ![]() ![]() M26-3 ![]() ![]() ![]() ![]() M.x5 a=0.9m/s^2 N1.8 ![]() Un1 ![]() ![]() Und2 T=7secunde Und3 ν=0.25 Hz Und4 v=410 mi/hr=180 m/s Und5 t=157 secunde Und6 t=0,0725 s ![]() ![]() ![]() |


|
M.x4 d=79.7m |
|
h1 ![]() |
h2 ![]() |
|
h3 ![]() |
h4 ![]() |
|
h5 ![]() |
h6 ![]() |
|
h7 ![]() |
h8 ![]() |
|
h9 ![]() ![]() |
h10 ![]() L1 ![]() |
SATELITI
|
S5 ![]() ![]() S1 ![]() ![]() |